
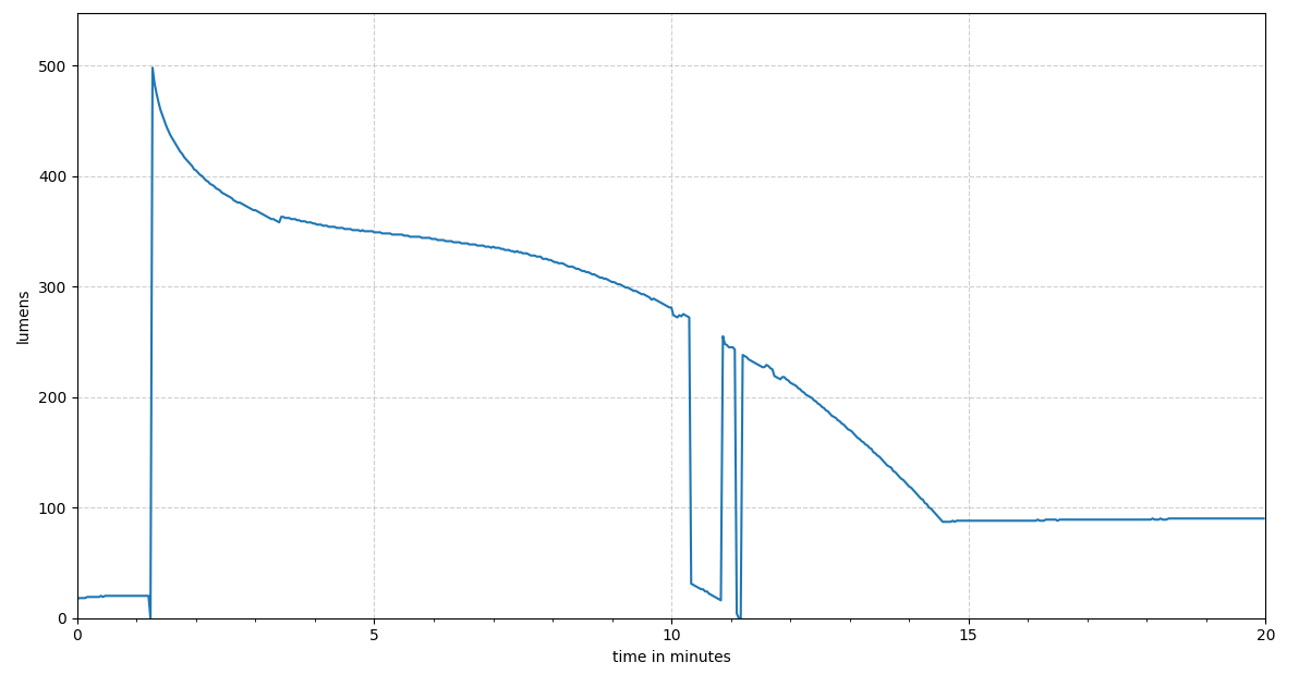
I just quickly pulled data from my sphere because I wanted to ask what happened to the Convoy T4 driver.
Ignore the dips and the gaps. I checked the lamps temperature and wanted to make sure that it was seated right and nothing got loose.
2 fully charged Vapcell F15s are being used here. Nichia 219 in 4500K.
Why does this light run SO poorly? And its not just this one, my other 2 also run like this. The titanium models do not even run any worse.
I have 1 x AAA lights that provide more lumens during that duration on a NiMH cell.
Just 88 lumens at the end…compared to ZeroAirs 660 lumens.
It looks just like a super basic FET driver. I assumed that it was at least a decently regulated Linear or better. But seems like its just…bad?
The head got up to 42°C during testing, so not even that hot.
by Wormminator
1 Comment
And yes I know that the 660 Lumens were cooled. Still roughly 290 uncooled…which is WAY above my 88 lumens.
And my room is at 16°C atm…